上海恒點傳動設備有限公司
加微信聯系 恒點減速機QQ2:51228482
[HTML] [XML]  産品展示産品展示-RSS  新聞中心新聞中心-RSS  技術支持技術支持-RSS
産品分類: 減速機蝸輪絲杆升降機轉向箱蝸輪蝸杆減速機齒輪減速機行星齒輪減速機擺線針輪減速機無級變速機大功率減速器
上海恒點傳動設備有限公司
資訊分類
和産品相關的技術文章
當前位置:網站首頁 > 技術支持 > 高速漸開線圓柱齒輪和類似要求齒輪承載能力計算方法附錄A、B(JB/T8830-2001)

高速漸開線圓柱齒輪和類似要求齒輪承載能力計算方法附錄A、B(JB/T8830-2001)

Tags: ARA螺旋錐齒輪轉向箱    發布時間: 2014-10-03
附錄A
(标準的附錄)
輪齒剛度c′和cr
輪齒剛度定義爲使一對或幾對同時齧合的無偏差輪齒在1mm齒寬上産生1μm撓度所需的齧合線上17)17)可近似使用Ft、(Fm、Fth……)代替Fbt來確定輪齒變形,用有關系數或修形将Ft轉換爲Fbt(載荷與基圓柱相切),與其他不定因素(如測量值的公差)相比,這種轉換所需要的修形可忽略不計。)的載荷 。
直齒輪的單對齒齧合鋼度c′是指一對輪齒的最大剛度,大緻等於單齒齧合狀态下一對輪齒的剛度18)18)當εα>1.2時 ,單對齒齧合區外界點處的c′近似等於單對齒齧合剛度的最大值。)斜齒輪的c′是指一對輪齒在法截面内的最大剛度。
齧合剛度cr是所有齧合輪齒的剛度的平均值。
本标準适用範圍爲 :±x2≤x1≤x2(+号用於外齧合,-号用於内齧合)。
A1單對齧剛度c′
單位載荷FtKA≥100N/mm:
c′=0.8cth′CRCcosβ……………………(A1)
A1.1單對齒剛度的理論值cth
cth′=1/q′……………………(A2)
式中:
式中:符号“+”:“+”用於外齧合,“-”用於内齧合;系數C1~C2的值見表A1。
表A1系數C1~C2的值
C1
C2
C3
C4
C5
C6
C7
C8
C9
0.04723
0.1551
0.25791
0.00635
0.11654
0.00193
0.24188
0.00529
0.00182
A1.2輪坯結構系數CR
對實心盤形齒輪,取CR=1。
對其他齒輪:
邊界條件:若bs/b<0.2,取bs/b=0.2;若bs/b>1.2;若SR/mn<1,取SR/mn=1,
代号的意義見圖A1。
高速漸開線圓柱齒輪和類似要求齒輪承載能力計算方法附錄A、B
A1.3基本齒條系數CB
對於标準基本齒廓19)19)基本齒條齒廓的參數 :αp=20°、hap=mn、hfp=1.2mn、ρfp=0.2mn,式(A2)和式(A3)的适用範圍爲:x1≥±x2,-0.5≤x1±x2(符号“±”:“+”用於外 外合,“-”用於内齧合)。在100≤Fbt/b≤1600N/m範圍内計算值和實際值的誤差在+5%和-8%之間。),CBS=1(标準值);
對於其他基本齒廓,CBD(差别值)由式(A5)計算:
CBD-[1+0.5(1.2-hfp/mn­)][1-0.02(20°-αn)]………………(A5)
A1.4附加說明
a)内齒輪傳動
内齒輪輪齒單對齒齧合剛度的近似值可由式(A2)、式(A3)計算,此時,式中的zn2取爲無窮在。
b)單位齒寬載荷FtKA/b<100N/mm
c)上述計算适用於剛制齒輪副,對其他材料組合的情況,參見GB/T 3480-1997中6.5。
A2齧合剛度cγ
    εα≥1.2的直齒輪和β≤30°的斜齒輪,齧合剛度由式(A7)計算:
cγ=c′(0.75εα+0.25)……………………(A7)
式中:c′由式(A1)確定。
附錄B
(标準的附錄)
非常規設計齒輪的特性
B1行星齒輪系數的動載系數
在有惰輪(中間輪)以及行星輪系(行星輪和太陽輪組成)的多齧合齒輪傳動系中,有幾個固有頻率 。這些固有頻率比單齧合的單個齒輪副的固有頻率或高或低。
盡管用本标準中的方法確的K是不可靠的 ,但對初步評價或多或少還是有用的。建議:如果有可能,應使用更精確的方法重新確定KV
對於非常規的齒輪設計,應優先使用對系統進行全面的分析來確定KV
B1.1不均載系數Kγ(多載荷分支)
在多分支傳動齒輪系中(如行星齒輪),總載荷不完全平均分布在每個齧合處,此時引入不均載系數來考慮 。
适當時,可用KAKγ來代替式(52)、式(53)和式(89)中的KA
B1.2外齒輪副的誘導質量
參見4.5.1.1。
B1.3臨界轉速
非常規設計齒輪的臨界轉速來實測或對整個系統進行全面分析來確定 。然面,其他方法也可以近似使用。下面是一些例子。
a)軸齒傳輸線的軸徑近似等於輪齒中部的直徑dm1
由於軸齒輪的較高的扭轉剛度在很大程度上由軸的質量來補償,因此,可用常規方法,即用小齒傳輸線的質量(輪齒部分)和名義齧合剛度Cγ來計算臨界轉速。
b)兩個剛性連接的同軸齒輪
計入較大齒輪的質量。
c)兩個小齒輪驅動一個大齒輪
通常大齒輪的質量比小齒輪質量大得多,各對齧合的齒輪可分别考慮,即:
——通常大齒輪的質量比小齒輪質量大得多,各對齧合的齒輪可分别考慮,即:
——第一個小齒輪和大齒輪構成的齒輪副;
——第二個小齒輪和大齒輪構成的齒輪副。
d)行星齒輪傳動
由於多分支傳動包括多個齧合剛度而不是一個齧合處的剛度,因此,行星齒輪傳動的振動特性非常複雜。用簡單的公式計算的KV值,應進行仔細的理論或實驗分析,或在使用經驗的基礎上加以驗證。
1)太陽輪和行星輪
確定太陽輪臨界轉速nE1的誘導質量:
式中:Jsun,Jpla——分别爲太陽輪和一個行星輪單位齒寬的轉動慣量,kg·mm2/mm;
rbsun,rbpla——分别爲太陽輪和行星輪的基圓半徑,mm;
p——計算輪系中行星輪的個數。
由式(B1)得出的mred值在計算N時要用到(見4.5.1.2),在該式中,計算齧合剛度Cγ要用近似等於單個行星齒輪的齧合剛度,計算z1時要用太陽輪的齒數。
對行星齒傳輸線,應注意Bp、Bf、Bk(見4.5.1.3)計片段公式中的Ft等於作用到太陽輪上的總切向載荷除以行星輪的個數。
2)行星輪和與齒輪箱體剛性連接的内齒圈
此時,假定内齒圈的質量爲無窮大,因此,誘導質量等於行星齒傳輸線的當量質量,mred由式(B2)確定:
式中代号的意義同式(B1)。
3)行星齒輪和轉動内齒圈
此時,内齒圈的當量質量按外齒輪處理,行星齒輪的誘導質量按式(B2)計算 。當内齒圈與幾個行星齒輪齧合時 ,按B1.3c)處理。
B1.4惰輪(中間輪)
當主動齒輪和從動齒輪大緻相同,惰輪的尺寸也大緻相同或稍大一點時,可按下列公式近似計算。
1)誘導質量
式中:J1、J2、J3——分别爲小齒輪,中間輪和大齒輪單位齒寬的轉動慣量,kg·mm2/mm。
2)齧合剛度
cγ=0.5(cγ1,2+cγ2,3)……………………(B4)
式中:cr1,2——主動輪和中間輪齒輪副的齧合剛度;
cr2,3——中間輪和從動輪齒輪副的齧合剛度(cr的確定見附錄A),如果臨界轉速比的範圍爲0.6<N<1.5時 ,建議進行更精度的分析。
如果中間輪遠大於主動輪和從動輪,或者主動輪或從動輪遠小於另外兩輪時,KV­可按單個齧合副分别計算,即:
主動輪-中間輪副;
中間輪-從動輪副。
上述mred的計算值可代替式(6)中的mred,用以下計算臨界轉速。
對未提及的情況,建議進行精確分析。
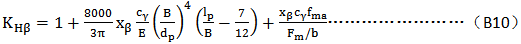
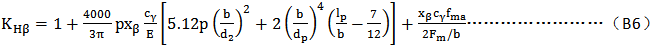
B2簡單行星齒輪的齒向載荷分布系數KHβ、KFβ
齒向載荷分布系數KHβ、KFβ是分别用以考慮沿齒寬方向載荷分布不均勻對齒面接觸和輪齒彎曲強度影響的系數。
适用於單級行星齒輪副,其特點如下20)20)未考慮齒形聯軸器的反作用力 ,當傳動件爲剛性和柔性聯軸器的摩擦特性不滿足要求時,反作用力将引起沿齒寬的載荷分布不均勻。):
太陽輪或行星架及有時連内齒圈都是浮動件,否則各行星齒輪的均載應通過加工的高精度和(或柔性來達到。有必要時,可參考上述條文的詳細内容。)
需確定下列數據:
——根據4.6.1.1,確定加工偏差fma
——根據4.6.1.2,確定跑合系數xβ­;
——根據附錄A確定齧合剛度。
考慮到行星輪之間的切向載荷分配的不均勻性,引入瞭系數Kγ(見B1.1),因此,每個行星輪的平均切向力爲Fm=FtKAKγKV,Ft爲每個齧合副所傳遞的名義切向力,對雙斜齒輪Ft爲兩個單邊斜齒輪的載荷之和。
a)直齒傳輸線和單斜齒輪21)21)同角注6)。)
1)無螺旋線修形的太陽輪(Z)和行星輪(P)副,行星輪裝於固定的剛性行星架銷軸上
2)部分螺旋線修形的太陽輪(Z)和行星輪(P)副,其他條件同1)(修形僅補償扭轉變形),KHβ按式(44)確定。
3)無螺旋線修形的太陽輪(Z)和行星輪(P)副,行星輪帶軸頸,該軸頸裝於行星架的軸承内
4)完全螺旋線修形的太陽輪(Z)和行星輪(P)副,其他條件同3),彎曲變形和扭轉變形完全補償,KHβ按式(45)確定。
5)無螺旋線修形的内齒圈(H)和行星輪(P)副,行星輪帶軸頸,該軸頸裝於行星架的軸承内
6)部分螺旋線修形的内齒圈(H)和行星輪(P)副,其他條件同5),修形僅補償彎曲變形,KHβ按式(45)確定。
7)有或無螺旋線修形的内齒圈(H)和行星輪(P)副,行星輪裝於固定的剛性行星架銷軸上,KHβ按式(45)確定 。
b)雙斜齒輪22)22)見角注6)和7)。)
1)無螺旋線修形的太陽輪(Z)和行星輪(P)副,行星輪裝於固定的剛性行星架銷軸上
2)部分螺旋線修形(僅補償扭轉變形)23)23)見角注9)。)的與1)相同的齒輪副,KHβ按式(44)確定。
3)無修形的太陽輪(Z)行星傳輸線(P)副,行星輪帶輪頸,該軸頸裝於行星架的軸承内
4)完全螺旋線修形(補償彎曲和扭轉變形)的與3)相同的齒輪副,KHβ按式(46)確定。
5)無螺旋線修形的仙齒圈(H)和行星輪(p)副,行星輪帶軸頸,該軸頸裝於行星架的軸承内
6)部分螺旋線修形(僅補償彎曲變形)的與5)相同的齒輪副,KHβ按式(46)確定。
7)有或無螺旋線修形的内齒圈(H)和行星齒輪(P),行星輪裝於固定的剛性行星架銷軸上,KHβ按式(46)確定。
上一篇 上一篇: 高速漸開線圓柱齒輪和類似要求齒輪承載能力計算方法附錄C、D(JB/T8830-2001)
下一篇 下一篇: 高速漸開線圓柱齒輪和類似要求齒輪承載能力計算方****齒彎曲強度計算(JB/T8830-2001)
相關新聞文章 > 查看更多
軸承異響-外部環境與操作影響 2026-01-23
淺談傳動軸的端部聯接形式 2025-12-12
淺析高粘度齒輪泵的發展特點 2025-11-21
改善機彎小彎曲半徑,薄壁鋼管彎頭的措施有哪些 2025-10-29
車削螺紋時常見故障及解決方法-螺紋表面粗糙 2025-09-02
編制工藝規程時必須具備的原始資料有哪些 2025-08-22
如何評價直接測量未定系統誤差合成法 2025-07-08
軸承産品鏽蝕的原因 2025-06-10
錐齒輪承載能力計算方法第1部分:概述和通用影響系數附錄A(GB/T10062.1-2003) 2025-04-24
什麽是機械加工表面質量 2025-02-14
什麽是低溫軸承?用於哪些領域,有哪些類型? 2025-01-15
什麽是軸承的軸向遊隙 2024-11-22
返回頂部 關閉本頁】 【打印本頁
電 話:021-22815912  021-22816186  傳 真:021-32050712   郵箱:sales@021jsj.cn  減速機 絲杆升降機 轉向箱 蝸輪蝸杆減速機
Copyright©2009-2026上海恒點傳動設備有限公司 版權所有  地址:上海市金山區亭林鎮林寶路39号  郵編:200442  滬ICP備10206998号-2 
友情鏈接機械設備網 | 渦街流量計 | 輸送機 | 變頻控制櫃 | 破碎機 | 工業同城 | 手持終端 | 柴油發電機 | uv平闆打印機 | 風淋室 | QUV | 防火門 | 九愛圖紙 | 感應加熱設備 | 輸送帶廠家 | 噪聲治理 | 西門子plc | 拖鏈電纜 | AGV | 機械雜志 | 現代機械 | UWB高精度定位 |